Alwar Gate, Ajmer, Rajasthan
Email:
saintpaulsajmer@gmail.com
Call us
0145 - 2661140, 2971140
Home
About
History
CBSE Corner
Facilities
Admissions
Admission Procedure
Uniform
School Timing
General Rules
Notice Board
Notices
SLFC Nomination
Online Results
School News
School Calendar
Downloads
Transfer Certificate
Activities
Gallery
Contact
PAY FEE
Home
About
History
CBSE Corner
Facilities
Admissions
Admission Procedure
Uniform
School Timing
General Rules
Notice Board
Notices
SLFC Nomination
Online Results
School News
School Calendar
Downloads
Transfer Certificate
Activities
Gallery
Contact
Phone :
0145 - 2661140, 2971140
Mail :
saintpaulsajmer@gmail.com
saintpaulsajmer@gmail.com
0145 - 2661140, 2971140
PAY FEE
Home
About
History
CBSE Corner
Facilities
Admissions
Admission Procedure
Uniform
School Timing
General Rules
Notice Board
Notices
SLFC Nomination
Online Results
School News
School Calendar
Downloads
Transfer Certificate
Activities
Gallery
Contact
9
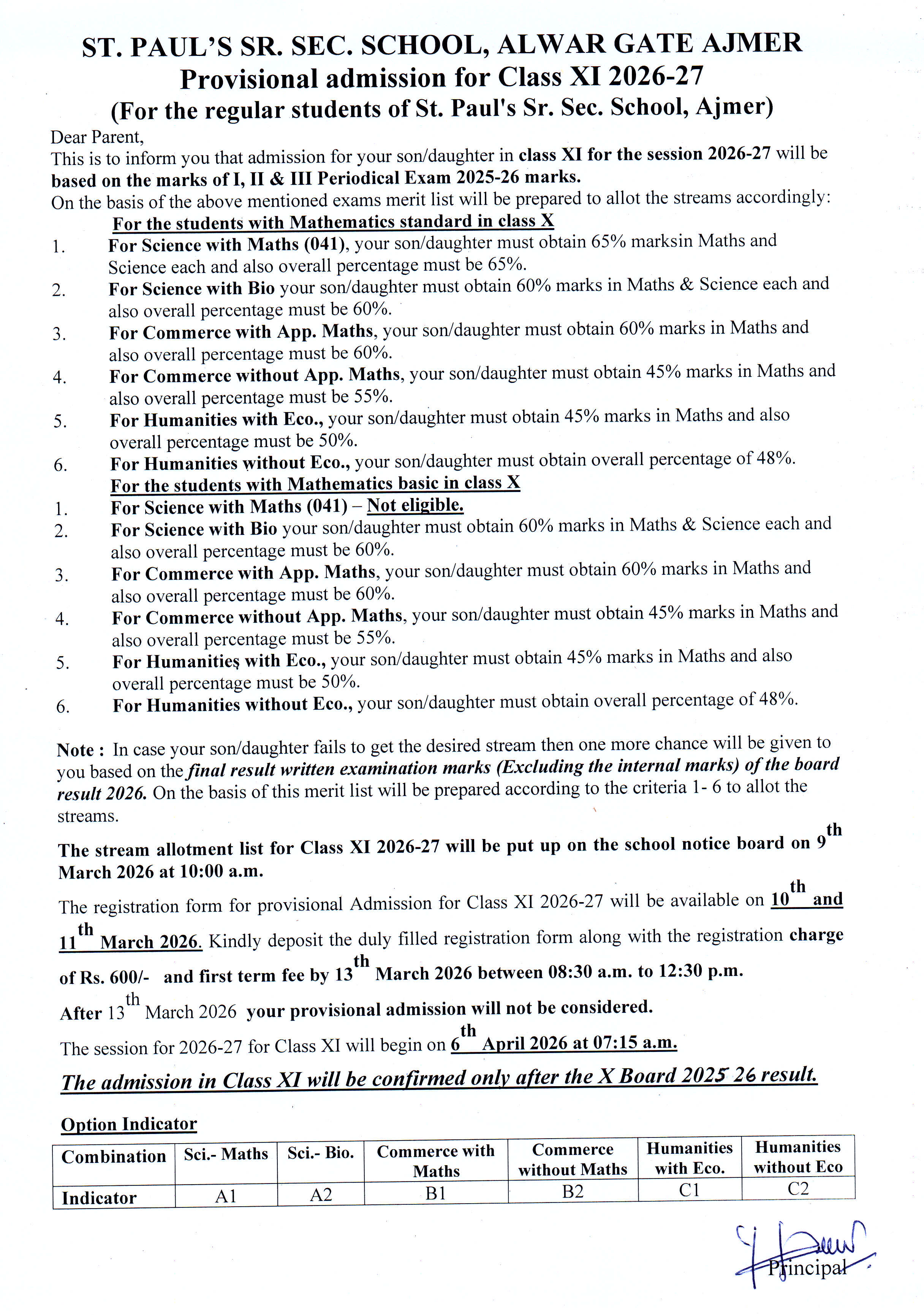
Notices
Notice Board
Notices
Notices
Important Notices